개별 세포 단위로 유전자 발현량을 측정할 수 있는 단일세포 리보핵산(RNA) 시퀀싱(sequencing)은 최근 생물학, 신약 개발, 임상 연구 등 다양한 분야에서 급속한 발전을 이뤄 주목받고 있다.
단일세포 RNA 시퀀싱 기술은 세포 종류에 따른 유전자 분석이 가능해 질병에 대한 새로운 진단과 예후 예측 등 맞춤형 의료 서비스 제공에 적합하나, 여러 세포의 발현량을 합산하여 측정하는 다세포 RNA 시퀀싱 기술에 비해 정확도가 낮아 전체 유전자 중 일부만 검출되는 한계가 있었다.
광주과학기술원(GIST, 총장 임기철)은 AI대학원 이현주 교수 연구팀이 단일세포 RNA 시퀀싱 기술의 근본적인 한계를 극복할 수 있는 자기 지도 학습(self-supervised learning) 방법론을 개발했다고 밝혔다.
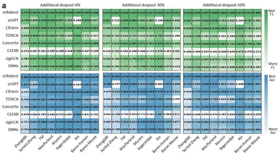
이를 적용한 결과, 동일한 세포 종류라도 당뇨병의 정도에 따라 구분되는 세부적인 특징까지도 발견할 수 있었다. 또한, 15개의 단일세포 RNA 데이터세트에서 실시한 세포 종류 분류 테스트 중 12개 데이터세트에서 가장 높은 F1 점수를 보였다.
여러 세포의 RNA가 섞인 유전자 발현량을 측정할 수 있는 다세포 RNA 시퀀싱 기술에 반해 단일세포 RNA 시퀀싱은 단일세포만을 대상으로 하기 때문에 측정 정확도가 떨어진다. 따라서 단일세포 RNA 데이터는 보통 30,000개가 넘는 유전자 중에서 2,000~3,000개 유전자의 발현량만을 얻는 경우가 많다.
즉, 전체 유전자 중 10%만이 측정 가능한 높은 해상도를 가지고, 나머지 90% 정보는 낮은 해상도로 인하여 측정이 불가하다. 이에 따라 기존의 연구는 주로 여러 세포에서 공통으로 발현되는 약 10%의 유전자만을 사용하여 세포 유형을 예측하고 분석해 왔다.
하지만 특정 세포 종류에서만 발현되는 유전자가 오히려 해당 세포를 더 자세히 설명하는 경우가 많고, 현재 사용되는 단일세포 RNA 시퀀싱 기술은 약 90%의 유전자 정보를 사용하지 못하는 근본적인 문제점이 있었다.
연구팀은 단일세포 RNA 시퀀싱 데이터에 적합한 대조 학습(contrastive learning, 자기 지도 학습 방법론 중 하나) 방법론을 활용하여 단 5% 미만의 유전자 정보만을 가지고도 각 단일세포의 보편적인 특징부터 세부적인 특징까지도 파악할 수 있는 기술, ‘scRobust’를 개발하였다.
이를 통해 이전 방법론에서 활용되지 않았던 90%의 유전자 정보까지 사용할 수 있게 되어 세포 종류에 대한 예측 성능이 향상되었을 뿐만 아니라 동일한 세포 내에서도 더욱 정밀한 분석이 가능해졌다.
이 기술은 하나의 세포로부터 다양한 유전자 조합을 만들어 여러 개의 세포 표현 벡터(cell representation vector)를 생성할 수 있는 방법론을 기반으로 단일세포 RNA 시퀀싱 데이터에 적합한 데이터 증강(data augmentation)을 하는 것이다.
대조 학습을 통해 AI 모델을 학습시키면, 서로 다른 유전자 조합으로 생성된 세포 표현 벡터라도 같은 세포에서 나온 것인지, 다른 세포에서 나온 것인지 구분할 수 있으며, 이 과정을 통해 다양한 유전자 조합으로 만든 세포 표현 벡터(local cell representation vector)들이 하나의 통일된 세포 표현 벡터(global cell representation vector)로 수렴하게 된다.
결과적으로 소수의 유전자만 사용하더라도 모든 유전자를 활용한 것과 유사한 세포 표현 벡터를 얻을 수 있어 전체 유전자를 사용하는 효과를 기대할 수 있다.
이현주 교수는 “이번 연구에서 개발된 알고리즘은 AI 모델이 유전자 일부만 학습하는 것이 아니라 모든 유전자에 대해 학습하는 것이 가능하다”면서 “이를 통해 그동안 소수의 세포에서만 발현되는 유전자와 같은 세포 유형에서 발생하는 미세한 특징들까지도 비교, 분석할 수 있게 되었다”고 설명했다.
또한 “다양한 세포 종류의 마커 유전자뿐만 아니라 약물 저항성과 관련된 마커 유전자까지 추출할 수 있어 향후 단일세포 분석의 패러다임을 바꿀 수 있을 것으로 기대된다”고 말했다.
GIST AI 대학원 이현주 교수가 지도하고 박세진 박사과정생이 수행한 이번 연구는 정보통신기획평가원(IITP)의 지원을 받았으며, 생물정보학 분야 JCR 상위 4% 국제학술지 ‘Briefings in Bioinformatics’에 2024년 11월 16일 게재됐다.
AI포스트(AIPOST) 윤영주 기자 aipostkorea@naver.com

